वेन ब्रिज : परिभाषा ,सूत्र तथा उपयोग - हिंदी इलेक्ट्रिकल डायरी - हिंदी इलेक्ट्रिकल डायरी - बिजली, वायरिंग, सोलर और टूल्स की जानकारी -->

वेन ब्रिज : परिभाषा ,सूत्र तथा उपयोग - हिंदी इलेक्ट्रिकल डायरी

Wien Bridge क्या है ?

यह एक प्रकार का ए०सी ब्रिज सर्किट है जिसका उपयोग अज्ञात कपैसिटर का Capacitance ज्ञात करने के साथ HF Frequency Oscillator में किया जाता है। इस सर्किट में कुल चार प्रतिरोध तथा दो कपैसिटर का उपयोग किया जाता है। इस परिपथ को पहली बार 1891 में मैक्स वेन ने  Develop किया था। यह ब्रिज सर्किट व्हीटस्टोन ब्रिज की तरह संतुलन की अवस्था में कार्य करता है। एक वेन ब्रिज परिपथ को निचे के चित्र में दिखाया गया है। 
wein bridge

वेन ब्रिज परिपथ का निर्माण 

जैसे की उपर दिए गए परिपथ में दिखाया गया है की एक चतुर्भुज के चारों भुजा के अनुदिश प्रतिरोध तथा कैपेसिटर को जोड़ा गया है जिसमे एक भुजा AB के अनुदिश कैपेसिटर तथा प्रतिरोध एक दूसरे के समांतर तथा दूसरे भुजा AD के अनुदिश श्रेणी क्रम में जुड़े हुए है। अन्य दो भुजा BC तथा CD के अनुदिश दो प्रतिरोध जुड़े हुए है। विकर्ण BD के अनुदिश एक पोटेंसियोमीटर D को जोड़ा गया है जो इसमें प्रवाहित होने वाली विधुत धारा को ज्ञात करेगा। जब यह ब्रिज परिपथ संतुलन की अवस्था में होता है तब विकर्ण BD से किसी भी प्रकार की विधुत धारा का परवाह नहीं होता है और इस दशा में बिंदु B तथा D का विभव (पोटेंशियल) सामान होता है। 
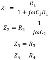
माना की 
भुजा AB का प्रतिबाधा  = Z1
भुजा AD  का प्रतिबाधा  = Z
भुजा BC  का प्रतिबाधा  = Z3
भुजा CD का प्रतिबाधा  = Z4

ब्रिज संतुलन अवस्था में 
ऊपर दिए गए समीकरण में रियल पार्ट तथा इमेजिनरी पार्ट की तुलना करने पर 
इमेजिनरी पार्ट की तुलना करने पर 

वेन ब्रिज का उपयोग 

ऊपर दिए गए सभी पैरामीटर (प्रतिरोध तथा कैपेसिटर) का मान पहले से ज्ञात हो तब आरोपित वोल्टेज की आवृति ऊपर वाले फार्मूला मदद से ज्ञात की जा सकती है। इसके विपरीत यदि आवृति तथा प्रतिरोध का मान ज्ञात हो तब किसी एक कैपेसिटर का मान आसानी से ज्ञात किया जा सकता है। इसके अतिरिक्त इस परिपथ का उपयोग रेडियो फ्रीक्वेंसी Oscillator तथा ऑडियो वाले परिपथ में किया जाता है। 

यह भी पढ़े 

एक टिप्पणी भेजें

Subscribe Our Newsletter